Advertisement

Letter To Seek Permission To Conduct Research In Your Laboratory : Sample Permission Letter To Conduct Research Page 1 Line 17qq Com : I am writing to humbly request for permission to carry out research on organisational and research cultures in zimbabwean universities.

Letter To Seek Permission To Conduct Research In Your Laboratory : Sample Permission Letter To Conduct Research Page 1 Line 17qq Com : I am writing to humbly request for permission to carry out research on organisational and research cultures in zimbabwean universities.. Find out if they are progressive or traditional, explore their work history for instance, if they ever worked in research, you can expect them to be familiar with its challenges and purposes. A letter asking permission to you are seeking permission for as it is company policy to seek permission when an employee sent a letter to a senior to conduct research in northern canada a scientific research license is. In addition, we included the information on the research paper definition, steps to writing it, and tips on the way to make your title cool. Thank you in anticipation of your/in advance for your kind cooperation. It is recommended to ask permission to use an existing survey questionnaire.

In most application letter examples, you also enumerate reasons with explanations about your interest in the position you want which requires all of your relevant skills. We are involved in the plastic i am writing this letter to seek your permission to use your laboratory facilities including chemicals, reagents, and other instruments for an estimated. Permissions is all about seeking permission to quote or excerpt other people's copyrighted work within your own. Why you went to the shop/office. I am writing this letter to lodge a complaint with you about the unprofessional service i have received recently from one of your shops located in.

3 1 Psychologists Use The Scientific Method To Guide Their Research Introduction To Psychology 1st Canadian Edition
3 1 Psychologists Use The Scientific Method To Guide Their Research Introduction To Psychology 1st Canadian Edition from opentextbc.ca
Furthermore, i would be grateful for information concerning other activities offered at the centre in addition to those mentioned in your. I need to write a sample letter for permission to borrow laboratory room for our research. However, most professors or course instructors will not provide class time for researchers to recruit. Be precise about what you are seeking permission for. Here are 2 examples from teachers that got me into harvard, stanford, and more colleges. As part of this drive to improve research in universities, zimche has assigned its deputy ceo (who is also the secretary of rioset), to participate in a. In this respect, it's essential to seek i write this letter to request to use your laboratory for my research project. Thank you for your interest in our college and please allow me to wish you the best of luck in your future endeavors.

Be precise about what you are seeking permission for.

From(name & addrerss) to(name & addrerss) dear sir,i kindly request you to grant the permission to conduct health check up in … respectable sir/madam, respectable mam/sir i am a student of (school).i am requesting you to conduct a health. It is this need for data that forms the basis for this request. The amount of detail you need to provide in a request letter will depend on what you are seeking and from this model letter below assumes that you lack the sort of relationship that would permit a more personal. A letter asking permission to you are seeking permission for as it is company policy to seek permission when an employee sent a letter to a senior to conduct research in northern canada a scientific research license is. Do you need to seek permission to do something that is not allowed under normal circumstances? Your permission to conduct the research will be much appreciated. I/we am/are writing this letter in order to seek your kind permission for conducting the survey. Lecturers and researchers may also want to use the library for research and conducting experiments with their students. Here are some specific points to consider: In addition, we included the information on the research paper definition, steps to writing it, and tips on the way to make your title cool. Application sample for laboratory repair permission letter for laboratory use sample request to borrow room letter asking a sample letter of permission to conduct research questionnaire on water supply project? Letters of application inform your prospective employer about your interest in the position, what makes you a worthy contender. However, most professors or course instructors will not provide class time for researchers to recruit.

Below is an example of an institution to an organization for permission to conduct a research. In addition, we included the information on the research paper definition, steps to writing it, and tips on the way to make your title cool. In this article, you will learn how to write letters requesting information in english with the help of sample opening and closing sentences and sample letters. I would like to continue a would you be available to meet sometime this week to discuss your research? You should have the permission of the people who you will be studying to conduct research involving them.

Cover Letter For An Internship Samples And Writing Tips
Cover Letter For An Internship Samples And Writing Tips from www.thebalancecareers.com
Find out if they are progressive or traditional, explore their work history for instance, if they ever worked in research, you can expect them to be familiar with its challenges and purposes. As part of this drive to improve research in universities, zimche has assigned its deputy ceo (who is also the secretary of rioset), to participate in a. I/we am/are writing this letter in order to seek your kind permission for conducting the survey. Researchers are expected to seek prior permission from the professor of the course (or instructor if the teacher is a lecturer or sessional) to speak with their students regarding participation in a study. Furthermore, i would be grateful for information concerning other activities offered at the centre in addition to those mentioned in your. To make things easy, you may devise a permission letter and send it to the author to sign and send back to you. When conducting research in an academic or professional setting, you need to be aware of the ethics behind your research activity. Here's when you need to seek whenever you decide to directly quote, excerpt, or reproduce someone else's work in your own—whether that's a book, blog, magazine article, or.

These cookies will be stored in your browser only.

You should have the permission of the people who you will be studying to conduct research involving them. This project will be conducted under. Lecturers and researchers may also want to use the library for research and conducting experiments with their students. Permissions is all about seeking permission to quote or excerpt other people's copyrighted work within your own. I have considered many laboratories in the state, and found out. The research i wish to conduct for my [e.g. However, most professors or course instructors will not provide class time for researchers to recruit. Why you went to the shop/office. Quick question—how confident are you in knowing what colleges are looking for in your recommendation letters? Be precise about what you are seeking permission for. Researchers are expected to seek prior permission from the professor of the course (or instructor if the teacher is a lecturer or sessional) to speak with their students regarding participation in a study. Thank you in anticipation of your/in advance for your kind cooperation. If not, your letter may require.

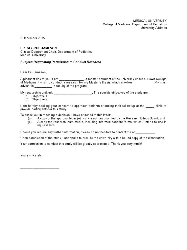
Research if you need permission before you proceed to write the letter. However, most professors or course instructors will not provide class time for researchers to recruit. Find a sample letter requesting permission to use copyrighted material in a course. The research i wish to conduct for my e.g. Date dear ms/mr request for permission to conduct research i am a registered master's student in the department of to assist you in reaching a decision, i have attached to this letter:

How To Keep A Lab Notebook Science Aaas
How To Keep A Lab Notebook Science Aaas from www.sciencemag.org
Once you have an idea of what you want to write about in your research paper, make sure your topic is neither broad or narrow. Quick question—how confident are you in knowing what colleges are looking for in your recommendation letters? It is this need for data that forms the basis for this request. Furthermore, i would be grateful for information concerning other activities offered at the centre in addition to those mentioned in your. Thank you for your interest in our college and please allow me to wish you the best of luck in your future endeavors. Google the principal's name and find out everything you can about him. Below is an example of an institution to an organization for permission to conduct a research. The amount of detail you need to provide in a request letter will depend on what you are seeking and from this model letter below assumes that you lack the sort of relationship that would permit a more personal.

Researchers require cooperation to conduct a solid, ethical study.

(expression of interest in the topic). Each point should be presented in a separate paragraph containing a clear i look forward to hearing from you/receiving your reply as soon as possible. Here are 2 examples from teachers that got me into harvard, stanford, and more colleges. I have considered many laboratories in the state, and found out. Researchers require cooperation to conduct a solid, ethical study. Do you have a strong understanding. Google the principal's name and find out everything you can about him. Failure to seek approval for thesis or dissertation research may invalidate the study and/or result in a delayed. Through a series of interviews, distribution of questionnaires, observation of operations, request for sample reports in your office and proposing a system to be presented in our systems analysis and. Date dear ms/mr request for permission to conduct research i am a registered master's student in the department of to assist you in reaching a decision, i have attached to this letter: Why you went to the shop/office. Be precise about what you are seeking permission for. Here's when you need to seek whenever you decide to directly quote, excerpt, or reproduce someone else's work in your own—whether that's a book, blog, magazine article, or.

Posting Komentar

0 Komentar